Iklan 300x250

38 d3 tanabe sugano diagram

› 49212961 › Inorganic_Chemistry_by(PDF) Inorganic Chemistry by Miessler ~ 5th Edition | Arnab ... This book is ideal for who want to use a strong molecular-orbital approach to explain structure and reactivity in inorganic chemistry. wwwchem.uwimona.edu.jm › courses › Tanabe-SuganoCalculations using Tanabe-Sugano diagrams Apr 02, 2019 · The baseline in the Tanabe-Sugano diagram represents the lowest energy or ground term state. The d 2 case (not many examples documented). The electronic spectrum of the V 3+ ion, where V(III) is doped into alumina (Al 2 O 3 ), shows three major peaks with frequencies of: ν1=17400 cm -1 , ν2=25400 cm -1 and ν3=34500 cm -1 .

Tanabe-Sugano Diagrams and Charge Transfer - UCI Chemistry Since cobalt is in the ninth column of the Periodic Table, it must be a d. 7 complex so we can use the d. 7 Tanabe-Sugano diagram from the last slide.22 pages

D3 tanabe sugano diagram

D3 tanabe sugano diagram

› 48903430 › Inorganic_Chemistry_4(PDF) Inorganic Chemistry 4th edition ... - Academia.edu Academia.edu is a platform for academics to share research papers. Tanabe-Sugano Diagrams - Chemistry LibreTexts Aug 15, 2020 — Tanabe Sugano diagrams are used to predict the transition energies for both spin-allowed and spin-forbidden transitions, as well as for both ...D6 Tanabe-Sugano diagram: d7 ...‎Racah Parameters · ‎Parameters · ‎Diagrams · ‎How to use the Diagrams

D3 tanabe sugano diagram. Tanabe-Sugano Diagrams - Chemistry LibreTexts Aug 15, 2020 — Tanabe Sugano diagrams are used to predict the transition energies for both spin-allowed and spin-forbidden transitions, as well as for both ...D6 Tanabe-Sugano diagram: d7 ...‎Racah Parameters · ‎Parameters · ‎Diagrams · ‎How to use the Diagrams › 48903430 › Inorganic_Chemistry_4(PDF) Inorganic Chemistry 4th edition ... - Academia.edu Academia.edu is a platform for academics to share research papers.

Figure 2.5 from Bismuth-based advanced luminescent (nano ...

Figure 2.5 from Bismuth-based advanced luminescent (nano ...

Calculations using Tanabe-Sugano diagrams

Calculations using Tanabe-Sugano diagrams

Spectroscopy of Cr3+ activator: Tanabe−Sugano diagram and ...

Spectroscopy of Cr3+ activator: Tanabe−Sugano diagram and ...

Part 2 9 Electronic Transitions Outline Absorption spectroscopy

Part 2 9 Electronic Transitions Outline Absorption spectroscopy

Tanabe Sugano - [PDF Document]

Tanabe Sugano - [PDF Document]

Tanabe sugano diagram

Tanabe sugano diagram

Optical Spectroscopy of Disordered Langasites Doped with ...

Optical Spectroscopy of Disordered Langasites Doped with ...

Calculations using Tanabe-Sugano diagrams

Calculations using Tanabe-Sugano diagrams

d 3 Tanabe–Sugano diagram for Cr 3+ ion in octahedral ...

d 3 Tanabe–Sugano diagram for Cr 3+ ion in octahedral ...

Tanabe–Sugano diagram - Wikiwand

Tanabe–Sugano diagram - Wikiwand

C:\Users\User\Dropbox\Chem 370 Current\Lecture Notes\WP ...

C:\Users\User\Dropbox\Chem 370 Current\Lecture Notes\WP ...

File:Tanabe Sugano Diagram d3.svg - Wikimedia Commons

File:Tanabe Sugano Diagram d3.svg - Wikimedia Commons

Crystal (ligand) field theory

Crystal (ligand) field theory

File:D5 Tanabe-Sugano diagram.png - Wikimedia Commons

File:D5 Tanabe-Sugano diagram.png - Wikimedia Commons

Research progress of Mn doped phosphors - RSC Advances (RSC ...

Research progress of Mn doped phosphors - RSC Advances (RSC ...

Datei:D4 Tanabe-Sugano diagram.png – Wikipedia

Datei:D4 Tanabe-Sugano diagram.png – Wikipedia

Tanabe sugano diagram

Tanabe sugano diagram

Tanabe-Sugano diagram for a 3d 2-ion in an ideal tetrahedral ...

Tanabe-Sugano diagram for a 3d 2-ion in an ideal tetrahedral ...

Tanabe-Sugano-Diagramm – Wikipedia

Tanabe-Sugano-Diagramm – Wikipedia

Understanding and exploiting long-lived near-infrared ...

Understanding and exploiting long-lived near-infrared ...

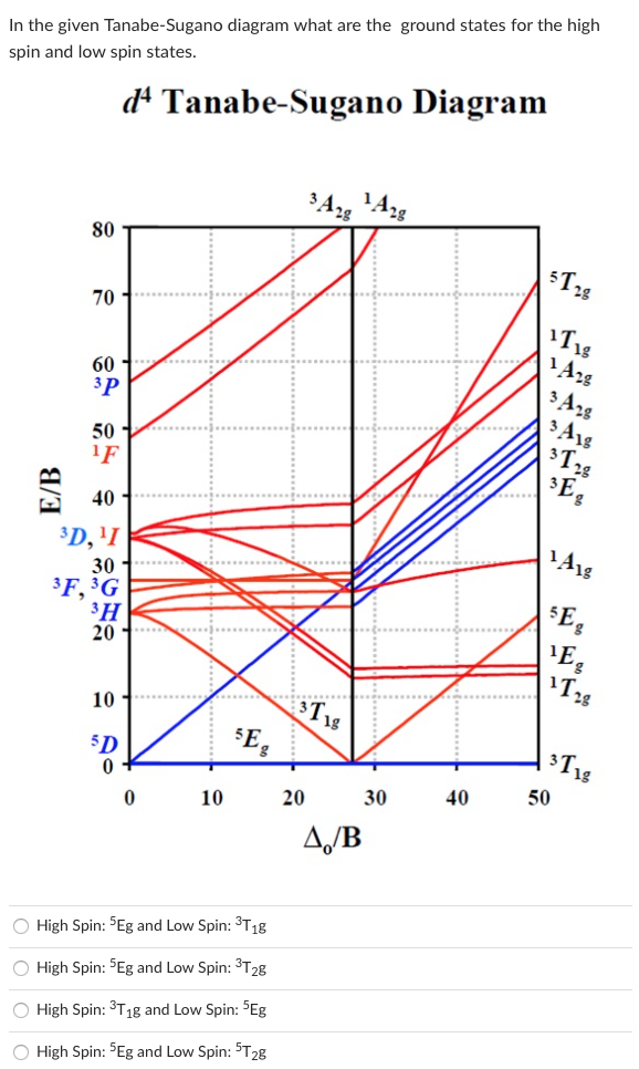
Solved In the given Tanabe-Sugano diagram what are the ...

Solved In the given Tanabe-Sugano diagram what are the ...

inorganic chemistry - Derivation of the Orgel diagram for ...

inorganic chemistry - Derivation of the Orgel diagram for ...

Calculations using Tanabe-Sugano diagrams

Calculations using Tanabe-Sugano diagrams

M.Sc Chemistry Inorganic Chemistry Semester-II

M.Sc Chemistry Inorganic Chemistry Semester-II

Critical Review—A Review of the Electronic Structure and ...

Critical Review—A Review of the Electronic Structure and ...

Interpretation of the spectra of first-row transition metal ...

Interpretation of the spectra of first-row transition metal ...

Calculations using Orgel diagrams

Calculations using Orgel diagrams

Spin-Forbidden Transitions in the Spectra of Transition Metal ...

Spin-Forbidden Transitions in the Spectra of Transition Metal ...

Solved Tanabe-Sugano Diagram for d3 ions *T1, 242g 80 70 ...

Solved Tanabe-Sugano Diagram for d3 ions *T1, 242g 80 70 ...

Electronic Spectroscopy

Electronic Spectroscopy

. Effects of juvenile hormone on mitrochondrial [sic] metabolism ...

. Effects of juvenile hormone on mitrochondrial [sic] metabolism ...

Explain the difference between Orgel and Tanabe-Sugano ...

Explain the difference between Orgel and Tanabe-Sugano ...

Orgel Diagram outline - Docsity

Orgel Diagram outline - Docsity

2. Tanabe-Sugano diagrams Tanabe-Sugano Diagram for | Chegg.com

2. Tanabe-Sugano diagrams Tanabe-Sugano Diagram for | Chegg.com

M.Sc Chemistry Inorganic Chemistry Semester-II

M.Sc Chemistry Inorganic Chemistry Semester-II

6.2. Introduction to Spectroscopic states and term symbols

6.2. Introduction to Spectroscopic states and term symbols

Explain the difference between Orgel and Tanabe-Sugano ...

Explain the difference between Orgel and Tanabe-Sugano ...

d 3 Tanabe–Sugano diagram for Cr 3+ ion in octahedral ...

d 3 Tanabe–Sugano diagram for Cr 3+ ion in octahedral ...

0 Response to "38 d3 tanabe sugano diagram"

Post a Comment

Iklan Atas Artikel

Iklan Tengah Artikel 1

Iklan Tengah Artikel 2

Iklan Bawah Artikel